1 對回轉窯煤粉燃燒認識的深入
從工藝過程角度看,用于對回轉窯燒成帶提供熱量的燃燒器應滿足下述要求:
1)對燃燒品質具有較強的適應性,特別是在燃燒無煙煤或劣質煤時,能確保在較低空氣過剩系數下完全燃燒,其CO和NOx排放量降至比較低限度。
2)火焰形狀應是細而不長,使整個燒成帶具有強而均勻的熱輻射。這一方面有利于熟料結粒、熟料礦物晶相正常發育,防止燒成帶揚塵;另一方面有利于形成致密穩定的燒成帶窯皮,延長耐火磚使用壽命。
3)一次風用量盡可能少,但必須保證在不正常的窯況下火焰燃燒的穩定。
值得指出的是,在上述要求中強調了火焰形成應是“細而不長”以形成合理的燃燒帶長度,而不再象以往那樣強調化燃燒以適應強化煅燒要求,這是因為強化燃燒所形成的局部高溫對燒成帶窯皮不利,從而影響耐火磚使用壽命,另一方面局部高溫將增加NOx的排放量。
一般情況,來自冷卻機的二次風溫可達900℃以上,窯頭燃燒火焰溫度高達1800℃左右,其燃燒一般已進入擴散控制區。擴散控制區的燃燒特點在于:煤粉燃燼時間受煤粉細度的影響較大(正比于煤粉粒徑的平方),而受煤品種特性影響較小,煤粉燃燒速率取決于其擴散速率,即煤粉和助燃空氣的混合速率及火焰區的湍流強度。換句話說,在燃料品種和煤粉細度一定情況下,為在整個燒成帶范圍內形成均勻燃燒強度的火焰,必須控制煤粉和助燃空氣的混合速率。在窯頭的所有助燃空氣中,二次風量一般占80%以上,所以控制煤粉和助燃空氣的混合速率實質上是控制燃燒器出口射流股對二次風的引射速率。至于火焰形狀除受到對二次風的引射速率和一次射流股的旋流強度等方面因素的影響外,還取決于燃燒器出口一次射流本身的“剛度”,一次射流本身的“剛度”可以一次射流比較大速度沿軸向的衰減程度來衡量。上述這些都取決窯頭受限射流空氣動力學方面的精確設計。圖1為我們實測到的典型的窯及三通道燃燒器所形成的受限射流速度場。

水泥回轉窯內煤粉的燃燒屬受限射流火焰,在二次空氣供給量一定時,按一次射流動量通量大小可分兩種情況:
1)當一次射流動量通量不大時,二次空氣足夠引射,也即射流在擴展到窯壁前,引射量不受影響。
2)當一次射流動量通量大到一定值時,二次空氣不能滿足引射量的要求,即在射流量到窯壁之前的某個位置,二次空氣被引射完畢,過剩的射流動量隨即開始引射下游區域的燃燒煙氣,形成外部回流區。
外回流的產生一方面使下游熾熱燃燒煙氣的回流增加了上游火焰化學活性基團和溫度濃度,從而增加煤粉后期燃燒速度;另一方面沖淡了可燃混合物中氧含量和擠占燃燒空間,這會引起燃燒速度降低,增加了火焰長度,所以外回流的大小有一比較佳范圍。
此外,適度的外回流對煤粉/空氣混合過程有促進作用,而沒有外回流,則表明并非所有的二次空氣都被帶入一次射流火焰中。值得指出的另一個重要方面是,適度的外回流可以防止“掃窯皮現象”,防止一次射流擴展碰撞窯皮。經驗表明,在射流擴展的理論碰撞點附近常常發生耐火磚磨損過快現象,導致窯運轉周期縮短。
在使用低揮發分燃燒時,火焰的氣體流場是非常重要的,因為低揮發燃燒一般具有較高的著火點,加之由于揮發分含量低、揮發分燃燒所產生的熱量不足以使炭粒加熱到著火溫度而使燃燒持續進行。確保低揮發煤持續點燃的比較簡便方法是增加火焰內循環量,使下游熾熱的燃燒產物回流到火焰根部以提高該處一次風和煤粉溫度。內循環的產生及其大小主要取決于燃燒器出口結構參數。
綜上分析,噴煤管出口動量通量和旋流強度是窯頭火焰設計和操作的重要參數。噴煤管出口動量通量是射流股對來自冷卻機二次空氣引射能力的度量。過小的動量通量將導致二次空氣和煤粉不能很好地混合,燃燒不完全,窯尾CO含量升高,煤灰沉落不均而影響熟料質量,甚至引起結前圈。另外由于火焰下游外回流消失,加之火焰剛度不夠(火焰的浮升)使火焰易碰撞窯皮,影響耐火磚使用壽命。過大的動量通量會引起過大的外回流。一方面擠占火焰下游的燃燒空間;另一方面降低火焰下游氧濃度,同樣導致燃燒不完全,窯尾溫度升高。
噴煤管出口射流旋流主要控制著火焰形狀、因此被稱之為火焰形狀系數。隨著旋流強度的增加,火焰變粗、變短,可強化火焰對熟料的熱輻射。但過強的旋流會引起雙峰火焰,即發散火焰,易使局部窯皮過熱、剝落;另一方面也易引起“黑火頭”消失,噴嘴直接接觸火焰根部而被燒壞。雖然大多數多通道燃燒器的旋流強度可在操作中調節,但極限參數的限定是很重要的,也是必須的。
2 窯頭火焰的空氣動力學計算
2.1一次射流動量通量
根據經驗,多通道燃燒器的同軸射流在其不遠的下游,表現出和單股射流相同的空氣動力學特征。為了分析方便作以下假定,在射流混合區內作一垂直于射流軸線的截面,截面上游的引射量伯為其下游射流的一部分。則旋轉射流對二次風的引射速率為:

式中:M――引射量的質量流量,kg/s;
X――距噴口的軸向距離,m;
Kl――溫度系數;
C――射流出口軸向總動量通量,N。對于多通道煤粉燃燒器,總動量通量等于各通道出口軸向動量通量之和:C=∑G;
S――任意垂直于燃燒器軸線截面的旋流數;
P。――被引射空氣的密度,kg/m3;
P。――射流混合物的密度,kg/m3;
GФ――旋流風的角動量通量,N·m;
Gx――射流出口軸向動量總通量,N;
R――射流出口當量半徑,m;
a――將同軸射流看作單股射流而引入的常數;
a――射流擴展半角,隨旋流數量呈線性增加;
S。――按三通道燃燒器出口尺寸和風速計算的旋流數。
有關資料介紹,K。、K分別為4.8和14,不過對于多通道燃燒器的具體噴嘴形式應由冷態實驗等方法確定。
根據動量守恒原理,在射流擴展過程中,角動量和軸向動量均保持為常數,解聯立議程(1)、(3)和(4)可得到下列等式:
M=〔K1X+K2(GФ/Gx·tga)㏑(X+a)〕K1/G2
將GФ/Gx=SoRo代入該式得;
M=K1KtX/G2+K2KtRoSo\tg-1a·㏑(X+a)/ G2 (6)
不難看出,式(6)中高項為射流軸向運動的引射量,第二項為射流旋轉運動而產生的附加引射量。
為達到煤粉在接近等當量比下燃燒,式(6)中M應根據燃燒計算所需的實際空氣需要量給出。為分析方便,令:
M=K3Gm-Mo=K3qcGc/Qnet.ar-M (7)
式中:Mo―――次空氣、煤粉輸送空氣問題,kg/s;
Gm――煤粉消耗量,kg/s;
K3――單位煤粉燃燒實際空氣需要量,kg/kg;
qc――熟料單位熱耗,kg/kg;
Gc――熟料產量,kg/s;
Qnet.ar――煤粉應用基低位熱值,kJ/kg;
式(6)中,X的比較大值等于射流混合區長度。只有當射流出口動量小到一定值時,外回流區完全消失,才會出現這一情況,此時X為:
X=Xmax=D/2 tga-a (8)
式中:D――窯燒成帶有效內徑,m
將(7)、(8)式代入(6)整理后得:
G=Po/Pctg2a(K3qcGc/Qnet.ar-Mo/K1(D/2-atga)+K2RoSo㏑(D/2tga)2 (9)
根據實驗資料,等溫旋轉射流的引射量可用下列經驗式表示:
M/Mo=(K1′+K2′S)(X/2Ro) (10)
根據不同資料,K1′,K2′取值范圍為:
K1′=0.32-0.35
K2′=0.8-1.07
比較(10)和(1)不難看出:
K1=(0.32-0.35)∏p/2
K2=0.8-1.07∏p/2
K3可以通過燃燒計算得出。因此,若通過對現行噴嘴結構利用冷態實驗等方法確定a值和a值,則便可以利用式(9)計算出燃燒器射流必須達到的比較小軸向總動量通量。
根據計算機數值模擬結果,a的范圍基本上在(1.5-3)do之間,do為燃燒器出口外徑。a基本上符合式(5),只不過Ko不是4.8而是11.5,K仍為14。
2.2 旋流數
根據有關介紹,在不知道旋轉射流橫截面上的速度分布和靜壓分布時,可近似從燃燒器出口端結構參數和工藝參數計算旋流數,其近似程度良好,即
S=G/Gx’R
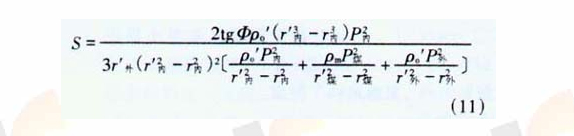
由于前述理由,可將多股同軸射流近似看作單股旋轉貢獻,從而確定出一次射流的旋流數。(11)式是根據上述觀點經推導整理后得到的三通道噴煤管嘴旋流數的計算公式:

式中:P1――各通道風量與一次風總量(包括煤風)之比;
ф――旋流葉片的軸向夾角;
Pm――煤粉濃相輸送視密度,kg/m3;
P――一次風凈風密度,kg/m3;
R――各通道環形出口外半徑,mm;
R――各通道環形出口內半徑,mm。
同理,雙通道燃燒器的旋流數可表達為:
(12)
將我院冷模試驗用CTI型燃燒器噴嘴結構參數代入(11)式,并令P煤=0.33,P=P′,得到下式:
S=94.282tgф/170+288(0.67/P-1)2+10.532/P
令ф=45°,P內=0.670,則S=0.487;
令ф=45°,P內=0.335,則S=0.171;
令ф=30°,P內=0.335,則S=0.0986;
令ф=30°,P內=0.670,則S=0.281;
通過上述計算可以發現,調節內、外風的比例來改變旋流數,從而達到改變火焰形狀的目的是極為有效的。這與冷態試驗結構是一致的。
3 關于燃燒器噴嘴結構設計方面的幾個值得討論的問題
3.1 噴嘴的基本結構形式
從上述分析中可知,增加一次射流的旋流數將提高一次射流的引射速率,即煤粉和二次風的混合速率,從而強化了窯頭煤粉燃燒,使火焰變得粗短,所以旋流系數又被稱之為火焰形狀系數。實際上燃燒器噴嘴結構形式和參數的變化也明顯地影響火焰的形狀。從空氣動力學的角度簡單地理解,一次射流對二次風的引射量取決于一次射流的動量通量,其引射速率除受一次射流角動量通量控制外,一次射流和二次風的接觸面積(以水力半徑度量)顯然對引射速率有較大影響,因為引射是通過射流股和周邊二次風接觸而上的動量交換而產生的。噴嘴設計中,在保持噴嘴出口截面積不變情況下減小水力半徑,即增加射流股和二次風的接觸面積,將增加煤粉和二次風的混合速率,使火焰變得粗短;另一方面也由于過高的二次風混入速率使一次射流股的核心速度衰減過快,表現為火焰“剛度”下降,對窯內的穿透深度減小。筆者曾就當時市面上的三通道煤粉燃燒器歸納成3種基本結構形式,見圖2。其中在相同的一次凈風總的出口截面積情況下,c型對二次風的引射速率高于a型,實踐中前者火焰粗短,燃燒劇烈,較適合于強化煅燒情況。b型中煤粉通道被分割成數個流股,由于煤粉通道介于內風和外風通道之間,因而增加了煤粉對一次風的混合能力。筆者認為,這種結構形式可能對燃燒速率影響不大,實踐中我國在300t/d、600t/d的預熱器窯上使用較多,普遍認為火焰散,有時甚至出現所謂的“鷹爪型”火焰,這種不利現象可以通過適當減小煤粉通道的動量通量得以改善。

3.2噴嘴的通道數
傳統的三通道煤粉燃燒器的旋流風通道、煤粉通道及直流風通道是由中心向外排列形成了3個同軸環形噴嘴出口,該技術發展初期市面上出現過具有更多通道的燃燒器。隨著技術的發展,窯的一次風用量不斷被減小以提高熟料冷卻機的熱回收效率;另一方面較少的一次風用量也有利于低揮發分工或劣質煤的應用。然而根據上述分析,為維持一定的一次射流動量能量,在減少一次空氣用量的同時必須提高一次射流總的出口速度。因此出現的問題有如下幾個方面:
1)由于出口速度高和一次風用量低的要求,旋流風及直流風環形出口縫隙往往很小,機加工和使用過程中難以保證較高的同軸度要求,引起火焰變形偏轉。
2)多股風因出口縫隙小,核心速度衰減過快,射流穿透深度不夠,導致火焰的“剛度”不足,成形效果差。另外也由于多股風在出口處相互干擾,增加了不必要的溢流強度,使出口阻力損失增大。
3)過多的通道數,減少了外風通道的通過風量,使燃燒器外套管得不到跔的冷卻,引起變形從而導致燃燒器外層耐火澆注料的過早損壞。
近期國際上發展起來的雙通道燃燒器可有效地克服上述多通道燃燒的缺點,Unitherm公司的M.A.S燃燒器和F.L.Smidth公司的DULFLEX燃燒器均屬這一類型,取消了內風通道,外風通道的旋流強度可以高速。從雙通道燃燒器的旋流數表達式(見式12)可以看出調整旋流器角度Φ和調整旋流風比例P均可有效地改變旋流數S,從而調整火焰形狀以適應窯的煅燒工況,M.A.S燃燒器可在操作中改變旋流器角度以調整火焰形狀。在雙通道燃燒器噴嘴結構上,由于煤粉通道被布置在中心,因而在控制火焰方面具有延緩煤粉和二次風的混合,降低火焰峰值溫度的特點。山東章丘水泥廠引進Unitherm公司1臺雙通道燃燒器,據反應使用效果很理想。
3.3 穩定火焰的措施
除一定的煤粉細度要求和較高的二次風溫度及較低的一次風用量要求外,還可以從下述幾方面考慮穩定火焰的措施。
1) 一定的煤粉出口速度;
2) 一定的熱煙氣內回流量;
3) 采用值班火焰。
無論什么品質的煤粉,燃燒器煤粉出口速度的設定應以不發生脈沖為前提,無脈沖速度的選擇依賴于實際煤粉輸送工況如彎頭數、輸送距離、爬升高度、煤粉細度等。在冷窯啟動過程中或窯況不穩定、燃燒帶溫度過低、二次風溫不高的不利情況下,大部分無煙煤使用廠家需采用油煤混燒的方式渡過此難關。輔助燃油量占總供給熱量的10%-20%,起到了值班火焰的作用。為有效地降低水泥生產的燃油成本,這方面的技術問題有待進一步形容進一步降低燃油比例,如從一次風用量、內回流強度、值班火焰和煤粉火焰間的相互關系方面優化組織燃燒。
如前所述,熱煙氣內回流是解決穩定低揮發分煤燃燒簡單而經濟的途徑。產生熱煙氣內回流的方法很多,主要措施有旋轉射流、大速差射流,非流線體及整流罩。一般情況下,水泥窯煤粉燃燒器的旋流數不超過0.5,屬弱旋轉射流范疇,其本身對內回流區的產生及尺寸影響不大。我院曾就大速并穩焰措施在某水泥廠進行了工業性試驗,可穩定燃燒1670/kg以下的高灰分煤,但大速差燃燒器消耗的壓縮空氣量較大,工廠長期使用并不經濟。非流線體加整流罩是目前多數燃燒器開發商常用的技術升旗。非流線鈍體的設計常結合噴煤管的結構情況,以圓臺體或擴大的中心壓力,使下游已燃燒煙氣在反向壓力梯度作用下回流至出口中心區,迅速加熱出口煤粉射流混合物;另一方面,射流罩的存在阻擋了二次風的過早混入,即減少了火焰中Nox量也降低了火焰峰值溫度,從而避免了燒成帶窯皮因局部高溫而頻繁脫落。
4 水泥窯燃燒技術的發展方向
4.1 降低Nox排放量
我國目前水泥回轉窯的Nox排放量大都超過0.1%,高的超過0.2%,而一些先進國家已控制在0.02%-0.04%以下。燃燒過程中Nox排放分3種類型,即熱力Nox排放、燃料Nox排放和催化Nox排放,三者與燃燒溫度的關系見圖3。由于窯頭火焰溫度高達1800℃左右,熱力Nox占主要地位(當燃料中含有碳氫化合物時,會在較低溫度下出現催化Nox排放)。減少窯頭Nox排放的主要途徑在于一方面應盡量降低火焰的峰值溫度,避免局部高溫,這往往和強化燃燒概念相矛盾,需要對火焰各階段的二次風混合速率進行控制;另一方面應控制局部氧濃度,特別是對燃燒器出口至著火這一階段的氧濃度控制。圖4中高揮發分煙煤、中等揮發分煙煤和石油焦的著火溫度依次升高。在相同受限射流火焰中,三者距燃燒器出口的著火距離依次是石油焦>中等揮發分煙煤>高揮發分煙煤,其Nox排放量大小依次是石油焦>中等揮發分煙煤>高揮發分煙煤。


4.2 劣質煤再生燃料的應用及各種工業有毒廢料的處理
再生燃料的范圍十分廣泛,如廢舊塑料、輪胎、廢木屑、各種工業可燃廢料廢液、城市生活垃圾等。國外多數公司開發的水泥窯燃燒器都有多種燃料混燒的功能,可根據燃料品質情況混燒劣質煤和再生燃料。
水泥窯火焰燃燒溫度高、停留時間長,加之水泥熟料質量對各種燃燼物的影響并不十分敏感,這就為繁多的工業和生活垃圾甚至各種有毒廢料的處理提供了理想條件。
目前有許多城市已開始實施城市垃圾分類措施,因而可以預計,今后的幾年內水泥窯處理各種工業和生活垃圾將成為水泥窯燃燒技術發展熱點。








